Интегрированный урок по русскому языку и математике в 6 классе по теме «Имя числительное»
Автор: Кучеренко Марина Ивановна
Организация: МОУ СОШ х. Клетский
Населенный пункт: Волгоградская область, Среднеахтубинский район, х. Клетский
Автор: Лабутова Людмила Владимировна
Организация: МОУ СОШ х. Клетский
Населенный пункт: Волгоградская область, Среднеахтубинский район, х. Клетский
Одним из способов достижения учащимися результатов обучения, согласно ФГОС ООО, является использование на уроках интеграции. Интеграция в педагогике – вот реальный путь, который позволяет бывшим школьникам быстрее адаптироваться в окружающем мире. Как реализовать интеграцию школьных предметов на уроках? Через использование содержание всех учебных предметов, привлечение сведений из различных областей науки, культуры, искусства, обращение к явлениям и событиям окружающей жизни, то есть через интегрированные уроки. Участие второго педагога-предметника при проведении интегрированного урока – признак бинарного урока – значительно повышает его содержательный и операционный уровень, так как по отдельности учителя не всегда знают программу смежных предметов (чтобы адекватно требовать знания от своих учеников) и не всегда могут на должном уровне анализировать смежный материал. Бинарный урок по своей природе является одной из форм исследовательской работы.
Пояснительная записка.
В рамках проведения в школе предметной недели русского языка и литературы в МОУ СОШ х. Клетский в этом учебном году был проведен бинарный урок в 6 классе «Имя числительное: орфография и грамматика в математических задачах». Урок по данной теме является заключительным, уроком-практикумом.
Предметная неделя является одним из эффективных средств, которые позволяют формировать и развивать ключевые компетенции обучающихся.
Предметная неделя — это совокупная форма методической, учебной и внеклассной работы в школе, представляющая многоцелевое единство мероприятий, объединенных общими задачами. Мероприятия предметной недели несут в себе мощный энергетический заряд, а главное, объединяют не только учащихся средней и старшей, но и младшей школы и формируют целостный, панорамный взгляд на мир и человека. Мероприятия, проводимые в рамках предметной недели, объединяют различные учебные дисциплины. Урок в 6 классе объединил такие учебные предметы, как русский язык и математику. Математика и русский язык как учебные предметы различны не только по названию, но и по содержанию. Если говорить о жизни вообще, как о существовании вселенной, то математика и русский язык наряду с другими науками составляют целостную систему окружающей нас действительности. Как сказал М. В. Ломоносов: “Все науки в грамматике нужды имеют». И это высказывание стало названием исследовательской работы учащихся 6 класса. Для исследования провели бинарный урок, результатом которого стало завершение создания лэпбука «Без грамматики не выучишь математики».
Цели урока:
- Систематизировать и обобщить навыки правильного написания и склонения имён числительных, различать количественные и порядковые числительные.
- Закрепить навыки выполнения арифметических действий с обыкновенными и десятичными дробями, читать математические выражения с использованием грамматически верных форм числительных.
- Продолжить развивать умение работать с информацией, сотрудничать в группе, структурировать материал.
- Повышать интерес к учебным предметам через межпредметные связи и игровую деятельность
Задачи урока:
- формирование приёмов логического мышления, развитие интереса к математике и русскому языку;
- развитие способности анализировать и обобщать, делать выводы, расширение кругозора;
- воспитание аккуратности, точности, самостоятельности, привитие навыков групповой работы, сотрудничества;
- воспитание организованности, самоконтроля.
Формы работы учащихся: фронтальная, групповая, индивидуальная работа.
Оборудование урока:
- Компьютер и мультимедийный проектор; презентация.
- Раздаточный материал (приложения).
План урока
1. Организационный момент и постановка цели (5 мин)
2. Путешествие по станциям (30-32 мин)
3. Сборка лэпбука и подведение итогов (5-7 мин)
4. Домашнее задание (1 мин)
Ход урока
1. Организационный момент и постановка цели (3 мин)
Учитель русского языка: Ребята, добрый день. Сегодня мы с вами проводим урок «Имя числительное: орфография и грамматика в математических задачах». Мы работаем в командах. Представьте свои команды.
1 команда: Наша команда называется «Количественные». Наш девиз: «Один в поле не воин»
2 команда: Наша команда называется «Порядковые». Наш девиз: «Любим порядок при счете, в учебе и работе»
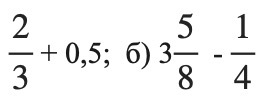
Учитель математики: Посмотрите на слайд. Прочитайте на слайде выражение:

Как вы думаете, какая часть речи поможет нам правильно прочитать эти математические выражения?
Ответ учащихся: Имя числительное.
Учитель русского языка:Почему нас на уроке два учителя?
Ответ учащихся: На уроках математики мы тоже используем имена числительные, которые мы должны правильно произносить.
Учитель русского языка:Теперь вы понимаете, почему сегодня урок мы проводим вместе с учителем математики. Мы отправимся в путешествие по станциям, где задания будут проверять ваши знания по обеим наукам. А итогом путешествия станет завершение вашей собственной книги знаний — лэпбука «Без грамматики не выучишь математики».
Каждая команда получает «Маршрутный лист» Приложение 1) и основу для будущего лэпбука.
2. Путешествие по станциям (30-32 мин)
Учитель русского языка:Каждая станция — это этап создания элемента лэпбука. На каждое задание отводится 5-7 минут. После выполнения команда получает «карточку-элемент» для вклеивания в лэпбук.
Станция 1 «Орфографическая» (русский язык + математика)
Учитель математики:Задание: прочитать выражение, записать ответ словами.
Карточка для 1 команды:
1. Восем...сот + 100 = ? (ответ: 900. Записать словом: девятьсот)
2. Пят...надцать- восем...десят = ? (ответ: -65. Записать словами: минус шестьдесят пять)
Карточка для 2 команды:
1. Шест...сот - двести = ? (ответ: 400. Записать словом: четыреста)
2. Шест…надцать – сем…десят=? (записать словами: пятьдесят четыре)
Задание для 1 команды:

Задание для 2 команды:

Учитель математики. Посмотрите правильные ответы на слайде.Молодцы. Отметьте баллы в маршрутном листе.
Учитель русского языка. Какое правило мы с вами повторили?
Элемент лэпбука «Конверт»: в конверт кладутся карточки с правилами «Ь в числительных» (в виде памятки).(Приложение 2)
Станция 2 «Склоняй-ка» (грамматика)
Учитель русского языка:Задание: просклонять (изменить по падежам) словосочетание, записанное цифрами.
Варианты для команд:
1 команда: 789 (книг)
2 команда: 456 (километров)
Учащиеся записывают в тетради, двое обучающихся работают на закрытых досках.
Проверяем ответы на слайде.Отметьте баллы в маршрутном листе.
Элемент лэпбука «Падежи»: кармашек, куда вкладывается листочек с правильным ответом. (Приложение 3)
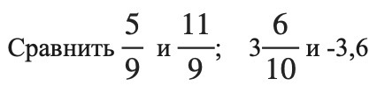
Станция 3 «Математический марафон» (решение задач)
Учитель математики: Задание: решить текстовую задачу. В ответе записать не только число, но и словосочетание с числительным.
Задача для 1 команды:
В шестом классе 35 учеников. 2/5 из них занимаются в математическом кружке. Сколько учеников занимаются в кружке? Запишите ответ словами.
Решение: 35 * 2/5 = 14. Ответ: четырнадцать учеников.
Задача для 2 команды:
В саду посажено 30 деревьев. 3/10 занимают яблони. Сколько яблонь в саду?
Решение: 30 * 3/10=9 Ответ: девять яблонь.
Элемент лэпбука «Задачкин»: мини-книжка-раскладушка с условием и решением задач. Отметьте баллы в маршрутном листе. (Приложение 4)
Станция 4 «Живая арифметика» (разряды числительных)
Задание: распределить словосочетания в два столбика (количественные / порядковые), прочитав примеры правильно. На слайде записаны числительные, а вы находите картинку с этим числительным и произносите правильно.(Приложение 5)
Элемент лэпбука«Сколько?» и «Который?»: кармашек, разделенный на две части, куда раскладываются карточки со словосочетаниями.Отметьте баллы в маршрутном листе.
3. Физкультминутка (2 мин)
Проводит учитель математики.
Раз — подняться, потянуться.
Два — согнуться, разогнуться.
Три — в ладоши три хлопка, головою три кивка.
На четыре — руки шире.
Пять — руками помахать.
Шесть — за парту тихо сесть.
Станция 5 «Найди ошибку»
Учитель русского языка: В данных предложениях на слайде допущена ошибки в склонении числительных. Найдите и исправьте их. Запишите исправленный вариант.
Задание для 1 команды.
Мы читали о полторастах героях Светского союза. (о полутораста)
Длительность полета составила около полутарах месяцев. (полутора)
Задание 2 команде. К девяностам студентов добавилось еще десять. (девяноста)
Довольный результатом сороков участников, тренер улыбался. (сорока)
Результаты проверяем по слайду. Отметьте баллы в маршрутном листе.
Итак, наш урок подходит к концу. Команды, у вас на столах лежат все элементы, которые вы изготовили на станциях. Ваша задача — красиво и правильно разместить их на вашей базовой папке.
4. Сборка лэпбука и подведение итогов (5-7 мин)
Дети приклеивают кармашки, гармошки, мини-книжки.
Учитель математики: Посмотрите, какие замечательные справочники у нас получились. Теперь у вас под рукой всегда будет информация о том, как правильно писать числительные и как они работают в математических задачах. Подведем результаты. Проверим маршрутные листы.
Рефлексия. Закончи высказывание.
1. Самое главное, что я узнал на уроке это- …
2. Было интересно…
3.У меня получилось…
4.Я научился…
5. Теперь я могу…
6. Где в жизни вам могут пригодиться эти знания?
Оценивание работы команд (можно выставить оценки самым активным участникам, отметив вклад в создание общего проекта). (Приложение 6. Лэпбук)
5. Домашнее задание (1 мин)
1. Составить и красиво оформить на отдельном листе 2 задачи с дробями, в ответе которых будут имена числительные. Этот лист можно будет добавить в лэпбук в новый кармашек.
2. Найти интересный материал про числительные.
ЛИТЕРАТУРА.
- Служевская Т. Л. Уроки русской словесности. Практикум по культуре речи. СПб, «Тускарора», 1996.
- Совайленко В. К. Система обучения математики в 5-6 классах. М., «Просвещение», 1991.
- Соколова Г. П. Уроки русского языка в 6 классе. М., «Просвещение», 1993.
- Фроянова Т. И. Культура русской речи. Практикум. СПб, «Паритет», 2003.
- Русский язык: 6-й класс: учебник в 2 частях/ М.Т. Баранов, Т.А. Ладыженская, Л.А. Тростенцова (и др.) – Москва: Просвещение, 2024
- Егорова Н.В. Поурочные разработки по русскому языку. 6 класс: пособие для учителя/ Н.В. Егорова. – 10-е изд. – М.: ВАКО, 2025. – 400с.
- Черногрудова Е.П. Дидактические материалы по русскому языку: 6 класс: к учебнику М.Т. Баранова, Т.А. Ладыженской, Л.А. Тростенцовой и др. «Русский язык. 6 класс. В двух частях». ФГОС НОВЫЙ (к новому учебнику)/ Е.П. Черногрудова – м.: Издательство «Экзамен», 2026. – 176с. (Серия учебно-методический комплект)
- Токаева Н.В. Всероссийская проверочная работа. Русский язык: 6 класс: 25 вариантов. Типовые задания. ФГОС НОВЫЙ / Н.В. Токаева; под ред. Г.Т. Егораевой. – М.: Издательство «Экзамен», 2025. – 104 с. (Серия «ВПР. Типовые задания»)
- Математика. 6 класс. Базовый уровень. Учебник. В 2 ч. Часть 2. Виленкин Н.Я., Жохов В.И., Чесноков А.С. и др. 889 ₽. 2024.



