Практическая работа по теме: «Изучение способности различных материалов поглощать радиоактивное излучение»
Автор: Афанасьев Андрей Петрович
Организация: МАОУ СОШ №25 «Гелиос» НГО
Населенный пункт: Приморский край, город Находка
Практическая работа
Тема: Изучение способности различных материалов поглощать радиоактивное излучение.
Цель: Определить коэффициент поглощения радиоактивного излучения различными материалами.
Оборудование: дозиметр радиации Radex, источник радиоактивного излучения, испытуемые материалы.
Схема испытательной установки

1 – источник радиации; 2 – испытуемый материал;
3 – дозиметр радиации.
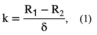
Расчетная формула

где k – коэффициент ослабления радиации материалами,
;
R1 – значение радиоактивного излучения от источника радиации без испытуемого материала, мкР/ч;
R2 – значение радиоактивного излучения, которое прошло через испытуемый материал, мкР/ч;
δ - толщина материала, мм.
Ход расчетной работы
|
R1, мкР/ч |
Название материала |
δ, мм |
R2, мкР/ч |
k, |
|
|
|
|
|
|
|
|
|
|
|
|
|
|
|
|
|
Последовательность выполнения работы
- Оформить текстовую часть расчетной работы (название, цель, схемы, формулы и т.д.).
- Обратите внимание, что в этой работе Вы будите измерять уровень радиации в единицах микро Рентген в час (мкР/ч.)
- Получите у преподавателя испытуемые материалы. Запишите их название в таблицу, произведите измерение толщины δ в мм.
- Установите источник радиации вплотную к дозиметру (без испытуемого материала). Дождитесь, пока показания прибора начнут незначительно изменяться, то в большую, то в меньшую сторону. Выберите максимальное значение и запишите в таблицу, как R1.
- Поместите испытуемый образец между источником радиации и дозиметром (как показано на схеме). Дождитесь, пока показания прибора начнут незначительно изменяться, то в большую, то в меньшую сторону. Выберите максимальное значение и запишите полученное значение, как R2 для соответствующего материала.
- Проделайте измерения со всеми предложенными материалами. Запишите полученные значения в таблицу.
- Произведите расчет коэффициента k. Полученные результаты запишите в таблицу. Напоминаю, что все расчеты должны быть записаны под таблицей.
- По полученным данным постройте столбчатую диаграмму, разместив материалы по возрастанию от материала с меньшим коэффициентом к большему (см.пример).
- По полученным данным сделайте вывод какой материал лучше задерживает радиацию?

Пример диаграммы изменения коэффициента k



