Применение игровых методик для реализации вычислительных навыков
Автор: Аристова Ольга Сергеевна
Организация: МБОУ Белозерская СШ
Населенный пункт: Ульяновская обл.
При изучении математики одну из важнейших ролей выполняют вычислительные навыки. Напомним, что вычислительные навыки – осознанное последовательное применение операций, приводящих к нахождению требуемого арифметического действия. Сформированность вычислительных навыков характеризуются такими качествами, как правильность, осознанность, рациональность, автоматизм, обобщенность и прочность. Отметим, что при отсутствии какого-то из качеств, зачастую учащиеся совершают элементарные ошибки на вычисление и применение свойств арифметических операций. Из этого следует, что систематическая тренировка элементарного счета должна быть на протяжении всего обучения курса математики.
При формировании вычислительных навыков необходимо выбирать такие способы, которые будут направлены не только на прочное усвоение, а также на побуждение к поиску новых подходов решения. Для реализации вычислительных навыков оптимально отводить по 5-7 минут на каждом уроке. Для эффективного применения стоит опираться под конкретные типы уроков – повторение, закрепление, изучение нового материала, а также поставленных целей. Подчеркнем, что упражнения должны быть оптимально подобраны, чтобы не перегружать и не превышать отведенного времени.
На уроках вычислительные навыки могут осуществляться как устно, так и письменно. Так при использовании устного метода учащиеся выполняют вычисления вслух, проговаривая каждое действие. В то время как во время письменного метода учащиеся записывают решение. Проведение устного опроса может привести к тому, что не все учащиеся будут вовлечены, так как каждый из них владеет разным уровнем вычислительного навыка.
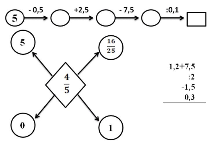
Современные учебники предоставляют упражнения для отработки устного счета. К ним относятся следующие задания: цепочка из чисел и действий, которые приводят к конкретному ответу в конце; цепочки с пропусками, в которых необходимо считать в обратную сторону; числовые примеры, представленные в виде схемы; задания на поиск ошибки. Некоторые из видов представлены на рисунке 1.

Рисунок 1. Задания на устный счет.
В данных примерах могут отсутствовать те или иные элементы. Так, например, где-то просят найти ответ, а где-то определить какое действие было совершенно. Постоянное использование данных упражнений через устный опрос может повлиять на снижение интереса и внимания к данному этапу урока у некоторых учащихся. Для устранения данной проблемы целесообразно применять различные игровые методики, направленные на применения вычислительных навыков. Рассмотрим некоторые методы отдельно.
- «Лабиринт»
Этап урока: актуализация знаний
Форма: индивидуальная
Время: 5-7 минут
Требуемая подготовка:
- Учитель заранее готовит лабиринт, в котором есть начало, на ответвлениях размещаются числа, в конце находятся три двери.
- Обучающийся получает лист с примерами, при решении которых выбирает направление по полученным ответам.
- В конце учитель просит поднять руку тех, кто пришел к первой, второй и третьей двери. И отмечает тех, кто пришел к правильной.
Подчеркнем, что для реализации необходимо сделать три маршрутных листа с примерами, для того чтобы каждый вел к разным дверям.
- «Поле чудес»
Этап урока: мотивация учебной деятельности
Форма: фронтовая
Время: 4-5 минут
Требуемая подготовка:
- Учитель размещает на доске слово оборотной стороной. Данное слово может быть новой темой урока. Каждая буква помещается на одном листе и ей присуждается стоимость.
- Обучающиеся устно решают примеры и за каждый правильный ответ получают жетон.
- В конце устного счета обучающиеся совместно решают на какие буквы потратить жетоны и отгадывают слово.
- «Раз, два, три. Мы таблицу повторим!»
Этап урока: актуализация знаний
Форма: фронтовая
Время: 3-4 минуты
Требуемая подготовка:
- Обучающиеся встают в круг. Хлопают в ладоши и задают ритм игре.
- Учитель произносит фразу: «Раз, два три. Раз, два, три. Мы таблицу повторим!» Затем говорит имя обучающегося и пример из таблицы.
- Обучающийся отвечает и передает эстафету следующему. Постепенно темп увеличивается.
- «Код»
Этап урока: актуализация знаний
Форма: индивидуальная, групповая
Время: 5-7 минут
Требуемая подготовка:
- Учитель закрывает доску и сверху помещает замок с ячейками для кода. Каждому ряду достается своя ячейка.
- Учитель подготавливает карточки, на которых размещается действие и число, например «+6,12». Каждому ученику раздается карточка в определенном порядке.
- Учитель сообщает начальное число, а обучающийся на первой парте считает и передает полученный ответ соседу сзади. Так цепочка длится до конца ряда. Последний ученик записывает ответ в конкретную ячейку.
- После заполнения всех ячеек проводится проверка.
Для того, чтобы остальные обучающиеся не сидели после того как передали очередь, можно разрешить обмениваться карточками для проверки.
- «Битва»
Этап урока: актуализация знаний
Форма: групповая
Время: 5-6 минут
Требуемая подготовка:
- Учитель раздает маленькие листы.
- Обучающиеся пишут примеры по теме на листах, которые после проверки учителем, сбрасываются в шляпу или любой объемный предмет.
- К доске вызываются два ученика, которые вытягивают примеры и решают их. Затем меняются на другого участника команды. При быстром и правильном решении команда получает 2 балла, при правильном 1 балл. Та команда, которая наберет больше баллов, получает награду.
- «Факты»
Этап урока: мотивация учебной деятельности
Форма: фронтовая
Время: 4-5 минут
Требуемая подготовка:
- Учитель находит факты памятной даты, о животном, о технике, об ученом. Составляет предложения, в котором есть пропуски. Разрабатывает примеры, в которых ответы будут заполнять данные пропуски. Можно придумать разные примеры, но с одинаковым ответом.
- Обучающиеся получают листочки с примерами, которые решают.
- Учитель записывает правильные ответы. И совместно с обучающимися заполняются пропуски.
- «Пазл»
Этап урока: отработка умений и рефлексия
Форма: индивидуальная
Время: 5-8 минут
Требуемая подготовка:
- Учитель выбирает изображение и делит его на части так, чтобы получился пазл. На каждом кусочке пишет ответ примера. Чертит сетку на доске и подписывает каждую ячейку соответствующим ответом. Раздает каждому обучающему пример.
- Обучающийся решает пример, показывает учителю, а затем ищет свой ответ на кусочке, который размещает на доске картинкой спереди. При правильном заполнении должно получиться исходное изображение.
Предложенные методы допустимо изменять и применять на различных этапах урока. Методы также корректируются и применяются зависимости от возрастной группы. Несмотря на то что используется групповая форма, в данных методах каждый обучающийся почувствует себя важным звеном в достижении цели.
Это лишь небольшой процент методов, которые применяются для разнообразия вычислительных навыков. Указанные выше методы позволяют повысить активность и заинтересованность учащихся в образовательном процессе. Применение методов позволит не только закрепить вычислительные навыки, но и создать условия для развития памяти, логического мышления, быстроты реакции, а также для воспитания сосредоточенности, самоконтроля. Формирование вычислительных навыков позволяет реализовать требование ФГОС, в котором говорится о необходимости развития у обучающихся алгоритмического мышления.



