Детективы: Расследование исчезновения пропавшей дроби
Автор: Каскевич Данил Денисович
Организация: МКОУ Горбуновская СОШ
Населенный пункт: Новосибирская область, Куйбышевский район, село Горбуново
- Организационный момент. Брифинг.
Приветствие, проверка готовности учащихся к занятию, организация внимания детей.
Здравствуйте, ребята! Пожалуйста, убедитесь в своей готовности к уроку! Я желаю вам успешной и плодотворной работы! Садитесь. На слайде представлен ребус, ваша задача его отгадать. Время на разгадывание ребуса 1 минута. (Деление дробей). Все верно ребята, это и будет нашей темой урока. Мы с вами дальше продолжаем работать с темой Деления обыкновенных дробей.
Сегодняшний урок у нас с вами необычный. Мы все вместе отправляемся в Математический город в котором произошло происшествие, а именно пропала важнейшая дробь. Наша с вами задача ее отыскать. Прежде чем отправиться на ее поиски, мы с вами создадим детективное агентство. Придумайте название вашего агентства. (Название)
Молодцы ребята. Я как главный следователь, расскажу вам суть поиска пропавшей дроби. Мы будем идти по уликам и выполнять различные задания, на вашем столе лежат листы с названием «Оценка детектива», в данном листе после каждого выполнено задания вы будете ставить себе оценку за проделанную работы, в конце урока вы мне их сдадите, и я как главный следователь выставлю вам итоговую оценку. Также обратите внимание на листы с название УЛИКА, каждое задание вы будете прописывать на листах с названием Протокол расследования, которые также лежат на вашем столе, за каждое верное решение, вы будете получать фрагмент фоторобота пропавшей дроби. После выполнения всех заданий вам нужно будет соединить части фоторобота и найти пропавшую дробь. Вы – лучшие детективы, и только вы можете ее найти!
-
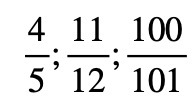
Актуализация знаний. Улика 1: След обратного.
Возьмите лист с названием Улика 1: След обратного, также внимание на слайд, на котором представлено задание. Найдите обратные дроби, запишите парами, подчеркните закономерности. Задание выполняется на листах протокола расследования. Время на выполнение задания 1 минута.
Время вышло, теперь давайте с вами проведем взаимопроверку, поменяйтесь своими протоколами, и проверьте работу своего коллеги. Решение задания вы можете увидеть на слайде. Время на проверку 1 минута. Время пошло.

Время вышло, поменяйтесь обратно своими протоколами, и покажите большой палец вверх если у вас нет ошибок, и если у вас имеются ошибки, то покажите большой палец вниз.
Молодцы ребята, вы справились с данным заданием, и я выдаю вам 1-ый фрагмент фоторобота, не забудьте оценить свою работу в листе оценки.
-
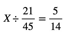
… . Улика 2: Место происшествия.
Возьмите лист с название Улика 2: Место происшествия, также внимание на слайд, на котором представлено задание. Ваша задача, решить уравнение и объяснить ход решения. Даю вам минутку на обсуждение, далее по истечению времени, любой детектив может выйти к доске и объяснить ход решения, остальные запишут решение в протоколах расследования.

Давайте теперь вместе проверим правильность решение данного задания. Внимание на слайд, на котором показано верное решение задания.
Молодцы, вы верно выполнили задание и получаете 2-ой фрагмент фоторобота.
-
… . Улика 3: Свидетель задача.
Возьмите лист с название Улика 3: Свидетель задача, также внимание на слайд, на котором представлено задание. Вам нужно: оформить задачу, решить и записать ответ. Даю 1 минуту на обсуждение. По истечению времени любой детектив выйдет к доске и решит задачу, остальные выполняют задание в своих протоколах расследования.
В баке было 5/6л воды. Ее разлили в баночки по 1/12 л каждая. Сколько баночек понадобилось?
Давайте теперь вместе проверим правильность выполнения задания, на слайде представлено решение задачи.
Вы справились с заданием и получаете за это 3-ий фрагмент фоторобота
-
Физминутка.
Левой рукой захватываем кончик носа, правой рукой – противоположное ухо. Затем я хлопаю в ладоши. И меняем положение рук, левой рукой ухо, правой кончик носа.
Маленечко с вами отдохнули, теперь приступаем к завершающей улике.
-
Самостоятельная работа. Улика 4: Фоторобот дроби.
Каждый детектив возьмите себе по листу с названием Улика 4: Фоторобот дроби, также задание представлено на слайде. Ваша задача самостоятельно найти и исправить ошибки, записать верное решение. Каждый детектив отдельно выполняет задание в своем протоколе расследования. Время на выполнение задания дается 3 минуты.

С заданием вы справились, теперь давайте с вами проверим правильность решения, на слайде выведено правильное решение примеров, также прописано какие ошибки были допущены. Время на проверку 1 минута. Проверьте свои работы.
Если задание выполнено верно и без ошибок, то поднимите 2 руки вверх, если в задании была допущена ошибка, поднимите 1 руку вверх, и если вы не смогли справиться с данным заданием, то не поднимайте руки.
Молодцы ребята, вижу, что с заданием вы успешно справились, поэтому выдаю вам последний фрагмент фоторобота.
-
Рефлексия. Отчет детектива.
Соберите фоторобот и скажите какая дробь пропала. (Дробь).
Молодцы детективы, вы справились со своей задачей и нашли пропавшую дробь.
Сдайте мне свои листы с оценкой детектива, и я их проверю.
Теперь каждый, возьмите лист с названием Отчет детектива и заполните его, ответив на вопросы. Время на выполнение дается 2 минута.
Время вышло, теперь каждый из вас ответит по одному любому вопросу из своего отчета, повторяться нельзя.
Оценки.
На этом урок наш с вами закончен, спасибо за плодотворную работу. До свидания!



