Алгоритмический подход при решении текстовых задач на уроках математики, 5 класс
Автор: Сивкова Мария Андреевна
Организация: МАОУ СОШ № 1 имени С.С. Алексеева
Населенный пункт: Свердловская область, г. Екатеринбург
При решении текстовых задач в стремлении облегчить себе жизнь ученики часто пропускают важные шаги, из-за чего к ответу на вопрос задачи приходят далеко не все.
Пошагово разберём алгоритм решения любой текстовой задачи.
1 шаг: анализ условия задачи.
Слово «анализ» для пятиклассников сложное, просьба «проанализировать» условие приведёт скорее к недоумению, чем к разделению задачи на части. Поэтому при работе с детьми учителю стоит использовать фразы и наводящие вопросы:
- Внимательно прочитайте условие задачи.
- Выделите главные элементы: кто является действующим лицом, что он(и) делает(ют)? Какая ещё информация есть в задаче?
- Что нужно найти?
2 шаг: составление краткой записи.
Именно этот шаг любят пропускать ученики, а ведь грамотно составленная краткая запись облегчит решение задачи. «Зачем писать краткую запись, если у нас есть сама задача?», – вопрос, который звучит каждый раз, когда я говорю пятиклассникам, что нужно записать краткую запись, прежде чем приступать к решению задачи. Ребята хотят сэкономить время на написании условия задачи в кратком, схематичном виде, однако при решении задачи тратят лишнее время, перечитывая полное условие.
Когда пятиклассники всё-таки составляют краткую запись в тетради, возникает другая проблема – указывают ребята далеко не всё: забывают про каких-либо героев сюжетной задачи, не указывают важную информацию о соотношениях между ними, не пишут, что необходимо найти по вопросу задачи, или начинают практически полностью переписывать условие задачи. Поэтому учителю важно проговорить, что необходимо в краткой записи:
- Записать все действующие лица, что про них известно, соотношения между ними (схематично).
- Обязательно указать, что необходимо найти.
3 шаг: составление алгоритма решения задачи.
Нередки случаи, когда пятиклассники не понимают, что именно они ищут своими действиями и как это приведёт к ответу на вопрос (и приведёт ли вообще). Поэтому важно, чтобы после составления краткой записи у ученика был план действий: что он может найти уже сейчас, как впоследствии будет использовать эту информацию (если задача решается не в одно действие) при дальнейшем решении.
4 шаг: решение задачи и запись ответа.
Когда краткая запись составлена, а в голове есть алгоритм решения, останется только записать само решение в тетрадь. Здесь тоже ребята пытаются сэкономить время и не пишут ни единицы измерения, ни пояснения к действиям. Учителю необходимо упомянуть, что написание пояснения к каждому действию, наоборот, ускоряет решение задачи, особенно если в ней большое количество действий. Записав пояснение во время решения, ученик не запутается в том, где он нашёл то, что ему нужно для следующих действий.
Запись ответа – тоже важная часть решения задачи. Прежде чем записать ответ, ученикам необходимо ещё раз прочитать вопрос задачи, так как к концу решения они часто забывают, что вообще искали всё это время, и не понимают, что нужно указать в ответе.
Разберём на конкретной задаче.
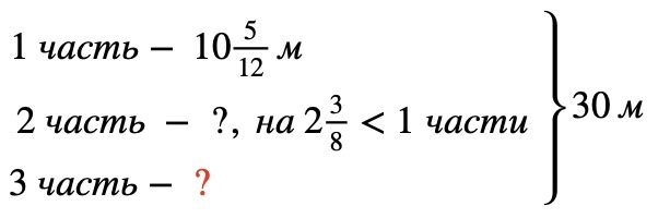
Задача:
Провод длиной 30 м разрезали на три части. Первая часть имеет длину 10 5/12м, что на 2 3/8м больше длины второй части. Найдите длину третьей части.
1 шаг: анализ условия задачи.
Устно разобрать с ребятами, что в задаче известны:
- длина первой части провода
- как найти длину второй части
- длина всех трёх частей
Найти необходимо третью часть, про которую дополнительной информации нет.
2 шаг: составление краткой записи.
Важно проговорить, что, если первая часть больше второй, то вторая будет меньше первой. Лучше указать эту информацию у второй части, так как первую часть искать не нужно. Также важно упомянуть, что, хотя вторая часть неизвестна и при решении мы её найдём, главный вопрос – третья часть, и в ответе указывать будем именно третью часть.

3 шаг: составление алгоритма решения задачи.
Важно с ребятами разработать порядок действий решения этой задачи:
- Найти вторую часть: вычесть из длины первой части разницу между ними.
- Найти сумму известных частей: сложить первую и вторую часть.
- Найти третью часть: вычесть из длины всего провода сумму первой и второй частей.
Получилось три этапа, соответственно, в задаче будет три действия.
4 шаг: решение задачи и запись ответа.
Так как алгоритм решения уже готов, осталось только записать его в виде математических примеров, не забывая напоминать ребятам, что нужно записывать единицы измерения и пояснения:




